365英国上市(集团)有限公司-Official website
集团首页
首页
关于我们
英国正版365简介
机构设置
办公电话
本科生专业介绍
研究生专业介绍
团队队伍
全部团队
教师团队
研究生导师
教学名师
教学工作
教学简讯
教学通知
教学文件
科学研究
员工动态
科研团队
科研项目
论文专利
重点实验室
员工工作
思政教育
团学活动
制度汇编
心理健康
人才招聘
党群工作
组织建设
学习活动
工会工作
员工动态
员工动态
English
Overview
News&Events
Office Phone
Faculty Members
Academic Programs
首页
关于我们
英国正版365简介
机构设置
办公电话
本科生专业介绍
研究生专业介绍
团队队伍
全部团队
教师团队
研究生导师
教学名师
教学工作
教学简讯
教学通知
教学文件
科学研究
员工动态
科研团队
科研项目
论文专利
重点实验室
员工工作
思政教育
团学活动
制度汇编
心理健康
人才招聘
党群工作
组织建设
学习活动
工会工作
员工动态
员工动态
English
Overview
News&Events
Office Phone
Faculty Members
Academic Programs
首页
通知公告
当前位置:
当前位置:
首页
->
通知公告
->
正文
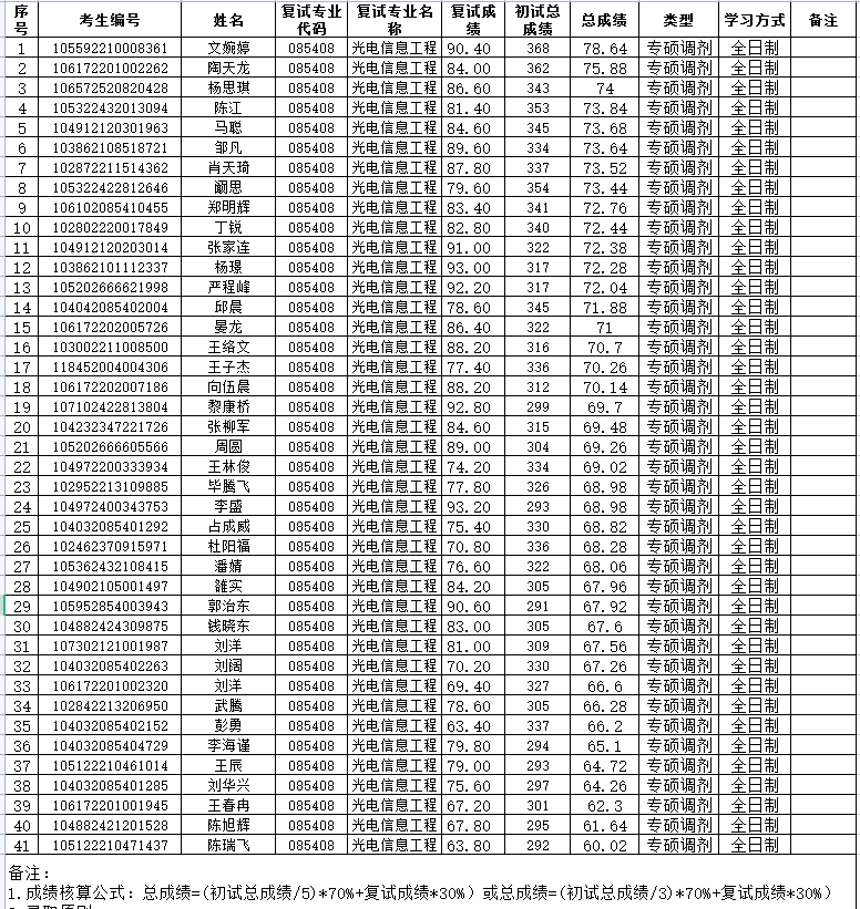
365英国上市2022年硕士研究生复试成绩公示(2)
日期:2022-04-14
阅读次数:次